United States
EN
United States
EN
China
中文
PRODUCTS
We supply high-quality products
TBPB
Download: 


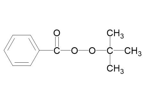
TBPB
Chemical name Tert-Butyl Peroxybenzoate
Molecular formula C11H14O3
Molecular weight 194.23
CAS NO. 614-45-9
UN NO. 3103
CN NO. 210-382-2
EINECS. 229-782-3

Brief lntroduction
TBPB is an efficient initiator for the ethylene polymerization under high pressure in both autoclave and tubular processes, also suitable for crosslinking of EPDM rubber compounds at ambient temperature within some weeks.

Half Life Data
● 10hr, Half Life Temp.............. 104℃
● 1hr, Half Life Temp............... 125℃
● 1 min.Half Life Temp.............. 171℃

Safety Data
● SADT.............. 60℃

Package and Storage
● 20kg, 25kg PE drum packing.
● Store at 10 ~ 30℃ in a cool and ventilated place. For customers with high chroma requirements, it should be stored at 10 ~ 15℃.

Application
TBPB can be used for the market segments: polymer production, polymer crosslinking, thermoset composites and acrylics production with their different applications/functions.

Request a wholesale Pricing